80-08-0
4,4'-二氨基二苯砜
分子式:C12H12N2O2S
分子量:248.3
MDL号:MFCD00007887
EINECS号:201-248-4
RTECS号:BY8925000
物理性质:
1.性状:白色或浅黄色结晶性粉末。无臭。味微苦。
2、密度(g/mL,20℃):1.33
3、熔点(℃):170~180
4、溶解性:微溶于水,可溶于醇、氯仿、乙腈及其他非质子系极性有机溶剂,还溶于稀无机酸化学性质:
在空气中稳定,无臭,味微苦,中等毒性。操作人员应穿戴防护用具,防止接触眼睛,皮肤及衣物,防止误食及吸入。
储存方法:
本品应密封避光保存。应储存在阴凉,干燥的地方。在不使用时保持密封。
制备路径:
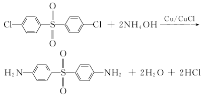
将4,4'-二氯二苯砜、酮粉,氯化亚酮及氨水加入高压釜,搅拌下加热,于170~202℃及3MPa压力下,反应14h,然后降温至60℃,经过滤、水洗、干燥得粗产品4,4'-二氨基二苯砜。根据产品的用途,对粗产品进行精制。例如可将粗产品溶解于10%的盐酸中,加活性炭脱色,过滤,冷却至10℃以下,用碳酸钠溶液调节pH值至2~2.5,离心过滤,再水洗至中性,经干燥即得成品。收率78%以上。

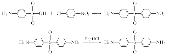
(1)以对硝基氯苯、对氨基苯磺酸为原料

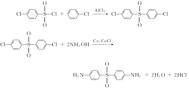
(3)以对氯苯磺酰氯和氯苯为原料
主要用途:
环氧树脂固化剂。气相色谱固定液(最高使用温度180℃,溶剂为丙酮)。分离分析酚类化合物。
本品用作环氧树脂的固化剂,反应性低,使用寿命长(约1年)。适用于浇铸品、层压品和黏合剂等。一般用量30~35份。固化条件:110~200℃/2~4h。固化物具有优良的热稳定性和突出的化学稳定性,热变形温度很高(170~180℃)。由于本品与树脂的混合物黏度很高,故用于浇铸制品时一般是在100℃以上进行。
本品作为抗麻风药是国家基本药物之一。具有磺胺药的抗菌谱,突出优点为对麻风杆菌有抑制作用,适用于各种麻风病,疗效好,服用方便,可为首选药。但毒性较大,与其他类型抗麻风病药合用可减少剂量,减低毒性和延迟耐药性的产生。