广州伟伯科技有限公司
142-73-4
亚氨基二乙酸
亚氨二醋酸
分子式:C4H7NO4
分子量:133.10
MDL号:MFCD00004280
EINECS号:205-555-4
RTECS号:AI2975000
物理性质:
一、物性数据
2、性状:白色粉末
3、熔点(℃):243℃
4、相对密度(℃,25/4):1.56
4 .溶解性:溶于水, 难溶于醇、 丙酮和乙醚。
化学性质:
1、常温常压下稳定。
禁配物:氧化剂
2、与酸、 碱生成盐, 还和多种金属形成螯合物
储存方法:
1、常温干燥密封保存。
2、不可与酸、 碱等共贮混运
制备路径:
1.氯乙酸钠法 由氯乙酸制备氯乙酸钠,再与水合肼反应生成肼抱二乙酸,最后在亚硝酸钠作用下制得亚氨基乙酸。
2.氯乙酸和氨基乙酸法
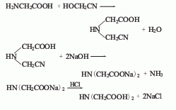
3.氨基乙酸和乙醇腈法

主要用途:
1、亚氨基二乙酸是除草剂草甘膦的中间体。
2、用于农药、橡胶和氨羧络合物,大量用作草甘膦的原料.
3、用作络合剂,也用于有机合成.
4、用于草甘膦的合成,还用作氨基酸型螯合树脂的合成原料,也是橡胶、电镀工业的重要原料和中间体,还用作表面活性剂,络合剂的中间体。
5、亚氨基二乙酸用作电镀或化学镀的络合剂。